Spirulina-based biostimulant alleviates lead-induced stress in wheat, improves grain yield and nutrient content

*Article not assigned to an issue yet

, ,


Research Articles | Published:

E-ISSN: 2229-4473.
Website: www.vegetosindia.org
Pub Email: contact@vegetosindia.org
DOI: 10.1007/s42535-025-01550-1
First Page: 0
Last Page: 0
Views: 751

Keywords: Antioxidant compounds, Lead, n Spirulina platensis biostimulants, Yield-contributing traits, n Triticum aestivum L.


Abstract


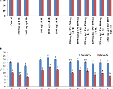
Lead (Pb) is a naturally occurring pollutant that is particularly detrimental to plant yield and poses health risks to both humans and animals. A pot trial was carried out to investigate the effects of Spirulina platensis algal extract (SE) with concentrations of 0, 500, 1000, and 1500 mg L−1 soil addition on lead (Pb)-stressed wheat yield, its parameters, and the nutritional value of the yielded grains. Treatments of lead acetate significantly decreased yield criteria. The grains weight /plant and 1000 grains weight decreased from 1.409 g and 28.92 g of control plants to 1.045 g and 16.45 g under 1000 mg/kg Pb, to 0.883 g and 12.08 g under 2000 mg kg−1 Pb., some macro (nitrogen, potassium, calcium, magnesium and phosphorus) and micro- element contents (ferric, manganese, selenium and zinc), and nutrient contents (carbohydrates%, starch%, protein% and gluten %) of the yielded grains. whereas the levels of Pb and antioxidants (phenol, flavonoids, B-carotene, and lycopene) gradually and significantly increased. Spirulina platensis algal extract (SE) soil addition with various levels alleviated partially the reduced effect of lead stress by increasing yield and its parameters, the studied nutrient contents, macro and microelement contents, with more significant increments of different antioxidant compounds, while decreased lead contents. The most advantageous effect was observed at 1000 mg L−1 SE extract, it improved different studied yield parameters (as it increased grains yield /plant by 21.0% and 7.6% and 1000 grains weight by 30.7% and 14.7% under 1000 and 2000 mg/kg Pb, respectively), nutritional value, and antioxidant compounds under different Pb levels. So, it may be concluded that, applying SE to wheat plants has the potential to mitigate the documented negative consequences of Pb on yield parameters, and nutritional value as well as antioxidant compounds, in addition to some macro and micro elements.

Antioxidant compounds, Lead, n                     Spirulina platensis biostimulants, Yield-contributing traits, n                     Triticum aestivum L.


References


Aberoumand A, Deokule SS (2008) Comparsion of phenolic compounds of some edible plants of Iran and India. Pak J Nutr 7(4):582–585


Albalasmeh AA, Berhe AA, Ghezzehei TA (2013) A new method for rapid determination of carbohydrate and total carbon concentrations using UV spectrophotometry. Carbohydr Polym 97(2):253–261. https://doi.org/10.1016/j.carbpol.2013.04.072


Alfeo V, Barbara JG, Ginfranco V, Emanuele S, Guido A, Aldo T (2018) Screening of durum wheat landraces (Triticum turgidum subsp. durum ) for the malting suitability. J Cereal Sci 83:101–109


Anita S, Rajesh KS, Madhoolika A, Fiona MM (2010) Health risk assessment of heavy metals via dietary intake of foodstuffs from the wastewater irrigated site of a dry tropical area of India. Food Chem Toxicol 48:611–619


Anonymous (2000) International Association for Cereal Science and Technology. The standard methods of the ICC, 2000 edn. ICC standard No. 137/1, approved 1982 and revised 1994. Vienna: The Association


AOAC (1970) Official Methods of Analysis of Association Agriculture Chemists. 11th ed, Assoc Off Agric Chemists, Washington. p. 777.


Arahou F et al (2022) Spirulina-based biostimulants for sustainable agriculture: yield improvement and market trends. Bioenerg Res. https://doi.org/10.1007/s12155-022-10537-8


Badr EA, Bakhoum GSh, Amin G, Sadak MS (2025) Enhancing barley growth and yield under drought stress through exogenous folic acid application. Egypt J Agron 47(1):157–165. https://doi.org/10.21608/AGRO.2025.310178.1485


Bakhoum GSH, Tawfik MM, Kabesh MO, Sadak MS (2023) Potential role of algae extract as a natural stimulating for wheat production under reduced nitrogen fertilizer rates and water deficit. Biocatal Agric Biotechnol 51:102794. https://doi.org/10.1016/j.bcab.2023.102794


Balaji S, Kalaivani T, Rajasekaran C, Shalini M, Siva R, Singh RK, Akthar MA (2014) Arthrospira (Spirulina) species as bioadsorbents for lead, chromium, and cadmium—a comparative study. Clean: Soil, Air, Water 42(12):1790–1797. https://doi.org/10.1002/clen.201300478


Ballistreri G, Arena E, Fallico B (2009) Influence of ripeness and drying process on the polyphenols and tocopherols of Pistacia vera L. Molecules 14:4358–4369


Bello AS, Saadaoui I, Ben-Hamadou R (2021) “Beyond the source of bioenergy”: Microalgae in modern agriculture as a biostimulant, biofertilizer, and anti-abiotic stress. Agronomy 11:1610. https://doi.org/10.3390/agronomy11081610


Boukhari MEME, Barakate M, Bouhia Y, Lyamlouli K (2020) Trends in seaweed extract based biostimulants: manufacturing process and beneficial effect on soil-plant systems. Plants 9:359. https://doi.org/10.3390/plants9030359


Bradford MM (1976) A rapid and sensitive method for the quantitation of microgram quantities of protein utilizing the principle of protein dye binding. Anal Biochem 72:248–254


Caldelas C, Weiss DJ (2017) Zinc homeostasis and isotopic fractionation in plants: a review. Plant Soil 41:17–46. https://doi.org/10.1007/s11104-016-3146-0


Chapman HD, Pratt PE (1978) Methods of analysis for soils, plants and waters. Univ Calif Div Agric Sci 4034:50–169


Chatterjee C, Dube BK, Sinha P, Srivastava P (2004) Detrimental effects of Pb phytotoxicity on growth, yield, and metabolism of rice. Comm Soil Sci Plant Anal 35(1–2):255–265


Chen G, Gao X (2002) Effect of partial replacement of nitrate by amino acid and urea on nitrate content of ninheading Chinese cabbage and lettuce in hydroponics (Chinese). Sci Agri Sinica 35:187–191


Cheng P, Wu L, Zhang H, Zhou J (2024) Inclusion of root water absorption and reinforcement in upper bound limit stability analysis of vegetated slopes. Comput Geotech 169:106227. https://doi.org/10.1016/j.compgeo.2024.106227


Chow PS, Landhäusser SM (2004) A method for routine measurements of total sugar and starch content in woody plant tissues. Tree Physiol 24:1129–1136


Circuncisão AR, Catarino MD, Cardoso SM, Silva AM (2018) Minerals from macroalgae origin: health benefits and risks for consumers. Mar Drugs 16:400


Das R, Biswas S (2022) Influence of abiotic stresses on seed production and quality. In: Jimenez-Lopez JC (ed) Seed biology updates. Rijeka, IntechOpen, pp 1–24


Deolu-Ajayi AO, Meer IM, Werf A, Karlova R (2022) The power of seaweeds as plant biostimulants to boost crop production under abiotic stress. Plant, Cell Environ 45:2537–2553. https://doi.org/10.1111/pce.14391


Di Sario L, Boeri P, Matus JT, Pizzio GA (2025) Plant biostimulants to enhance abiotic stress resilience in crops. Int J Mol Sci 26(3):1129. https://doi.org/10.3390/ijms26031129


El-Lethy SR, Sadak MSh, Hanafy RS (2024) Assessing the usefulness of Moringa oleifera leaf extract and zeatin in enhancing growth, phytohormones, antioxidant enzymes and osmoprotectants of wheat plant under salinity stress. Egypt J Bot 64(3):183–196. https://doi.org/10.21608/ejbo.2024.252447.2587


Fan D, Hodges DM, Zhang J, Kirby CW, Ji X, Locke SJ, Critchley AT, Prithiviraj B (2011) Commercial extract of the brown seaweed Ascophyllum nodosum enhances phenolic antioxidant content of spinach (Spinacia oleracea L.) which protects Caenorhabditis elegans against oxidative and thermal stress. Food Chem 32:92–313


FAO (2018) What Do People Eat? FAO Staple Foods. Available online: http://www.fao.org/docrep/u8480e/u8480e07


Giannakoula A, Therios I, Chatzissavvidis C (2021) Effect of lead and copper on photosynthetic apparatus in Citrus (Citrus aurantium L.) plants. The role of antioxidants in oxidative damage as a response to heavy metal stress. Plants 10:155. https://doi.org/10.3390/plants10010155


Gomez KA, Gomez AA (1984) Statistical procedures for agricultural research. John Wiley & Sons, Hoboken


Gonzalez MB, Guzman R, Rudkyk E, Romano M, Molina AA (2003) Spectrophotometric determination of phenolic compounds in propolis. Lat Am J Pharm 22(3):243–248


Guo G, Lei M, Wang Y, Song B, Yang J (2018) Accumulation of As, Cd, and Pb in sixteen wheat cultivars grown in contaminated soils and associated health risk assessment. Int J Environ Res Public Health 15(11):1–17. https://doi.org/10.3390/ijerph15112601


Gupta M, Kumar S, Dwivedi V, Gupta DG, Ali D, Alarifi S, Patel A, Yadav VK (2024) Selective synergistic effects of oxalic acid and salicylic acid in enhancing amino acid levels and alleviating lead stress in Zea mays L. Plant Signal Behav 19:1


Gupta S, Stirk WA, Plačkova L, Kulkarni MG, Doležal K, Van Staden J (2021) Interactive effects of plant growth-promoting rhizobacteria and a seaweed extract on the growth and physiology of Allium cepa L. (onion). J Plant Physiol 262:153437


Halford NG, Curtis TY, Chen Z, Huang J (2015) Effects of abiotic stress and crop management on cereal grain composition: implications for food quality and safety. J Exp Bot 66:1145–1156


Hamid A, Wasim A, Azfar A, Amjad R, Nazir R (2020) Monitoring and health risk assessment of selected trace metals in wheat rice and soil samples. Food Sci Technol Campinas 40(4):917–923. https://doi.org/10.1590/fst.23319


Hamouda RA, Shehawy MA, Mohy El Din SM, Albalwe FM, Albalawi HMR, Hussein MH (2022) Protective role of Spirulina platensis liquid extract against salinity stress effects on Triticum aestivum L. Green Process Synth 11:648–658. https://doi.org/10.1515/gps-2022-00653


Hassan HM, Bakhoum NS, Dawood MG, Sadak MS, Khattab H (2025) Role of esculin antioxidant on remediation of lead toxicity on flax growth and yield components. BMC Plant Biol 25:863. https://doi.org/10.1186/s12870-025-06870-7


Hung PV, Maeda T, Morita N (2006) Waxy and high-amylose wheat starches and flours-characteristics, functionality and application. Trends Food Sci Technol 17:448–456. https://doi.org/10.1016/j.tifs.2005.12.006


Hussain HI, Kasinadhuni N, Arioli T (2021) The effect of seaweed extract on tomato plant growth, productivity and soil. J Appl Phycol 33:1305–1314


Jalali P, Roosta HR, Khodadadi M, Torkashvand AM, Jahromi MG (2022) Effects of brown seaweed extract, silicon, and selenium on fruit quality and yield of tomato under different substrates. PLoS ONE 17(12):e0277923. https://doi.org/10.1371/journal.pone.0277923


Jasmin P, Chamon AS, Mondol MN, Ullah SM (2020) Effect of leadon growth and mineral nutrition of wheat (Triticm aestivum L.) as influenced by manure and lime. J Biodivers Conserv Bioresour Manag 6(2):69–76. https://doi.org/10.3329/jbcbm.v6i2.55248


Kohli SK, Handa N, Sharma A, Gautam V, Arora S, Bhardwaj R, Alyemeni MN, Wijaya L, Ahmad P (2018) Combined effect of 24-epibrassinolide and salicylic acid mitigates lead (Pb) toxicity by modulating various metabolites in Brassica juncea L. seedlings. Protoplasma 255:11–24


Kumar S, Misra AN (2023) Effect of lead stress on morphological and physiological features of wheat (Triticum aestivum L.) during vegetative stage. Biol Forum – Int J 15(10):918–924


Kushwaha A, Hans N, Kumar S, Rani R (2018) A critical review on speciation, mobilization and toxicity of lead in soil-microbe-plant system and bioremediation strategies. Ecotoxicol Environ Saf 147:1035–1045. https://doi.org/10.1016/j.ecoenv.2017.09.049


Lamhamdi M, Aarab RL (2013) Effect of lead stress on mineral content and growth of wheat (Triticum aestivum) and Spinach (Spinacia oleracea) seedlings. Saudi J Bio Sci 20(1):29–36


Ma S, Han W, Li L, Zheng X, Wang X (2019) The thermal stability, structural changeability, and aggregability of glutenin and gliadin proteins induced by wheat bran dietary fiber. Food Funct 10:172–179


Malik M, Mahmood S, Noreen S, Abid R, Ghaffar S, Zahra S, Shah T, Ahmad A (2021) Lead contamination affects the primary productivity traits, biosynthesis of macromolecules and distribution of metal in durum wheat (Triticum durum L.). Saudi J Biol Sci 28:4946–4956. https://doi.org/10.1016/j.sjbs.2021.06.093


Marrez DA, Naguib MM, Sultan YY, Daw ZY, Higazy AM (2014) Evaluation of chemical composition for Spirulina platensis in different culture media. Res J Pharm Biol Chem Sci 5(4):1161–1171


Mazaheri-Tirani M, Parsa Motlagh B, Ahmadzadeh M et al (2024) Mitigating pb toxicity in Sesbania sesban L. through activated charcoal supplementation: a hydroponic study on enhanced phytoremediation. BMC Plant Biol 24:744. https://doi.org/10.1186/s12870-024-05478-7


Moulis JM (2020) Cellular dynamics of transition metal exchange on proteins: a challenge but a bonanza for coordination chemistry. Biomolecules 10(11):1584. https://doi.org/10.3390/biom10111584


Mthiyane P, Aycan M, Mitsui T (2024) Integrating biofertilizers with organic fertilizers enhances photosynthetic efficiency and upregulates chlorophyll-related gene expression in rice. Sustainability 16:9297. https://doi.org/10.3390/su16219297


Mukherjee A, Patel JS (2020) Seaweed extract: biostimulator of plant defense and plant productivity. Int J Environ Sci Technol 17:553–558


Nasiroleslami E, Mozafari H, Sadeghi-Shoae M, Habibi D, Sani B (2021) Changes in yield, protein, minerals, and fatty acid profile of wheat (Triticum aestivum L.) under fertilizer management involving application of nitrogen, humic acid, and seaweed extract. J Soil Sci Plant Nutr. https://doi.org/10.1007/s42729-021-00552-7


Navabpour S, Yamchi A, Bagherikia S, Kafi H (2020) Lead-induced oxidative stress and role of antioxidant defense in wheat (Triticum aestivum L.). Physiol Mol Biol Plants 26(4):793–802. https://doi.org/10.1007/s12298-020-00777-3


Nikoogoftar-Sedghi M, Rabiei V, Razavi F, Molaei S, Khadivi A (2023) The effect of foliar application of Ascophyllum nodosum (L.) Le Jol. seaweed extract on biochemical traits related to abiotic stresses in pistachio (Pistacia vera L. cv. Kaleh- Ghoochi) Nikoogoftar-Sedghi. BMC Plant Biol 23:635. https://doi.org/10.1186/s12870-023-04654-5


Nugent AP, Thielecke F (2019) Whole grains and health: many benefits but do contaminants pose any risk? Nutr Bull 44:107–115


Prasad K, Das AK, Oza MD, Brahmbhatt H, Siddhanta AK, Meena R, Eswaran K, Rajyaguru M, Ghosh PK (2010) Detection and quantification of some plant growth regulators in a seaweed based foliar spray employing a mass spectrometric technique sans 1830 chromatographic separation. J Agric Food Chem 58:4594–4601


Prisa D (2019) Possible use of Spirulina and Klamath algae as biostimulants in Portulacagrandiflora (Moss Rose). WJARR 03(02):001–006


Purev O, Park C, Kim H, Myung E, Choi N, Cho K (2023) Spirulina platensis immobilized alginate beads for removal of Pb(II) from aqueous solutions. Int J Environ Res Public Health 20(2):1106. https://doi.org/10.3390/ijerph20021106


Rady MM, Elrys ES, Selem E, Mohsen AAA, Arnaout SMAI, El-Sappah AH, Khaled E-T, El-Desoky EM (2023) Spirulina platensis extract improves the production and defenses of the common bean grown in a heavy metals-contaminated saline soil. J Environ Sci 129:240–257. https://doi.org/10.1016/j.jes.2022.09.011


Rai N, Rai SP, Sarma BK (2021) Prospects for abiotic stress tolerance in crops utilizing phyto-and bio-stimulants. Front Sustain Food Syst 5(2021):754853


Raja B, Vidya R (2023) Application of seaweed extracts to mitigate biotic and abiotic stresses in plants. Physiol Mol Biol Plants 29(5):641–661. https://doi.org/10.1007/s12298-023-01313-9


Reboleira J, Freitas R, Pinteus S, Silva J, Alves C, Pedrosa R, Bernardino S (2019) Spirulina. In: Nabavi SM, Silva AS (eds) Nonvitamin and Nonmineral Nutritional Supplements. Academic Press, Boston, pp 409–413


Riyazuddin R, Nisha N, Ejaz B, Khan MIR, Kumar M, Ramteke PW et al (2021) A comprehensive review on the heavy metal toxicity and sequestration in plants. Biomolecules 12(1):43. https://doi.org/10.3390/biom12010043


Rizvi A, Ahmed B, Khan MS, Rajput VD, Umar S, Minkina T, Lee J (2022) (2022) Maize associated bacterial microbiome linked mitigation of heavy metal stress: a multidimensional detoxification approach. Environ Exp Bot 200:104911


Sadak MS, Badr EE, Mohamed MH, Bakhoum G, Tawfik MM (2025) Yeast extract leads to improvement of physiological and biochemical parameters and reduction of late planting stress in wheat. Egypt J Agron 47(3):513–533. https://doi.org/10.21608/agro.2025.326609.1528


Sadak MS, Bakhoum GS (2022) Selenium-induced modulations in growth, productivity and physiochemical responses to water deficiency in quinoa (Chenopodium quinoa) grown in sandy soil. Biocatal Agric Biotechnol 44:102449. https://doi.org/10.1016/j.bcab.2022.102449


Sadak MS, Dawood MG, El-Awadi MES (2024) Changes in growth, photosynthetic pigments and antioxidant system of Hordeum vulgare plant grown under salinity stress via signal molecules application. Vegetos. https://doi.org/10.1007/s42535-024-00879-3


Sadak MSh, Ramadan AA (2021) Impact of melatonin and tryptophan on water stress tolerance in white lupine (Lupinus termis L.). Physiol Mol Biol Plants 27(3):469–481. https://doi.org/10.1007/s12298-021-00958-8


Sanjosé I, Navarro-Roldán F, Montero Y, Ramírez-Acosta S, Jiménez-Nieva FJ, Infante-Izquierdo MD, Polo-Ávila A, Muñoz-Rodríguez AF (2022) The bioconcentration and the translocation of heavy metals in recently consumed Salicornia ramosissima J. Woods in highly contaminated estuary marshes and its food risk. Diversity 14(6):452


Sary DH, El-Nwehy SS, Mokhtar AMA (2020) Effect of algae extract foliar application on yield ad quality traits of soybean (Glycine max L.) grown on calcareous soil under irrigation water regime. Plant Arch 20(1):2417–2430


Bakhoum GS, Sadak MS, Tawfik MM (2022) Chitosan and chitosan nanoparticle effect on growth, productivity and some biochemical aspects of Lupinus termis L. plant under drought conditions. Egypt J Chem 65(5):537–549. https://doi.org/10.21608/ejchem202197832.4563


Shahid M, Khalid S, Abbas G, Shahid N, Nadeem M, Sabir M, Dumat C (2015) Heavy metal stress and crop productivity. Crop production and global environmental issues. Springer, Cham, pp 543–552. https://doi.org/10.1007/978-3-319-23162-4


Shukla PS, Shotton K, Norman E, Neily W, Critchley AT, Prithiviraj B (2018) Seaweed extract improve drought tolerance of soybean by regulating stress-response genes. AoB Plants 10(1):1–8. https://doi.org/10.1093/aobpla/plx051


Silva EM, Souza JN, Rogez H, Rees JS, Larondelle Y (2007) Antioxidant activities and polyphenolic contents of fifteen selected plant species from the amazonian region. Food Chem 101:1012–1018


Song J, Sun Z, Saud S, Fahad S, Nawaz T (2025) Exploring the deleterious effects of heavy metal cadmium on antioxidant defense and photosynthetic pathways in higher plants. Plant Stress 15:100716


Souahi H, Chebout A, Akrout K, Massaoud N, Gacem R (2021) Physiological responses to lead exposure in wheat, barley and oat. Environ Chall 4(2021):100079. https://doi.org/10.1016/j.envc.2021.100079


Tavarez M, Grusak MA, Sankaran RR (2022) Effects of zinc fertilization on grain cadmium accumulation, gene expression, and essential mineral partitioning in rice. Agronomy 12:2182


Ullah S, Khan J, Hayat K, Abdelfattah Elateeq A, Salam U, Yu B, Ma Y, Wang H, Tang ZH (2020) Comparative study of growth, cadmium accumulation and tolerance of three chickpea (Cicer arietinum L.) cultivars. Plants 9(3):1–18. https://doi.org/10.3390/plants9030310


Vafa Z, Sohrabi Y, Mirzaghaderi G, Heidari G, Rizwan M, Sayyed RZ (2024) Effect of bio-fertilizers and seaweed extract on growth and yield of wheat (Triticum aestivum L.) under different irrigation regimes: two-year field study. Chemosphere 364:143068. https://doi.org/10.1016/j.chemosphere.2024.143068


Vasilachi IC, Stoleru V, Gavrilescu M (1983) Analysis of heavy metal impacts on cereal crop growth and development in contaminated soils. Agriculture 2023:13. https://doi.org/10.3390/griculture13101983


Wang F, Wang Z, Kou C, Ma Z, Zhao D (2016) Responses of wheat yield, macro- and micro-nutrients, and heavy metals in soil and wheat following the application of manure compost on the North China Plain. PLoS ONE 11:e0146453


Wani AL, Ara A, Usmani JA (2015) Lead toxicity: a review. Interdiscip Toxicol 8(2):55–64. https://doi.org/10.1515/intox-2015-0009


Wei J, Cen K (2020) Contamination and health risk assessment of heavy metals in cereals, legumes, and their products: a case study based on the dietary structure of the residents of Beijing, China. J Clean Prod 260:121001. https://doi.org/10.1016/j.jclepro.2020.121001


Xu C, Leskovar DI (2015) Effects of A. nodosum seaweed extracts on spinach growth, physiology and nutrition value under drought stress. Sci Hort 22:29–22


Yang Y, Wei X, Lu J, You J, Wang W, Shi R (2010) Lead-induced phytotoxicity mech- anism involved in seed germination and seedling growth of wheat (Triticum aestivum L.). Ecotoxicol Environ Saf 73(8):1982–1987


Yanni GY, Elashmouny AA, Elsadany AY (2020) Differential response of cotton growth, yield and fiber quality to foliar application of Spirulina platensis and urea fertilizer. Asian J Agric Res 12:29–40


Zhu ZY, Zhang J, Liu Y, Chen XZ (2018) Exploring the effects of selenium treatment on the nutritional quality of tomato fruit. Food Chem 252:308–8146


Zou X, Wang X, Li L, Peng P, Ma Q, Hu X, Appels R (2022) Effects of composition and strength of wheat gluten on starch structure, digestion properties and the underlying mechanism. Foods 11(21):3432. https://doi.org/10.3390/foods11213432


Zulfiqar U, Farooq M, Hussain S, Maqsood M, Hussain M, Ishfaq M, Ahmad M, Anjum MZ (2019) Lead toxicity in plants: impacts and remediation. J Environ Manage 250:109557


Chang C, Yang M, Wen H, Chern J (2002) Estimation of Total Flavonoid Content in Propolis by Two Complementary Colorimetric Methods. J Food Drug Anal 10:178–182


Nagata M, Yamashita I (1992) Simple Method for Simultaneous Determinations of Chlorophyll and Carotenoids in Tomato Fruit. Nippon Shokuhin Kogyo Gakkaish 39:925–928. (C.F., Food Chemistry, 2006, 103, 413-419)


Levene H (1960) Robust tests for equality of variances. Contrib to probability statistics Palo Alto, Calif.: Stanford University Press, pp 279–292


Shapiro SS, Wilk MB (1965) An analysis of variance test for normality (complete samples). Biometrika 52:591–611. https://doi.org/10.1093/biomet/52.3-4.591

 


Author Information


Nuclear Materials Authority, Cairo, Egypt